Documents: Police say victim claims Trejan Bridges pointed gun, threatened to kill him

Sordid details and damning accusations have emerged in the ongoing case of two suspended Oklahoma football players.
The Oklahoman’s Nolan Clay first reported Friday that the victim in an April 15 alleged robbery and assault — in which Norman police identified sophomore wide receiver Trejan Bridges and freshman running back Seth McGowan as among three suspects — told police that Bridges pointed a gun at him and threatened to kill him.
Norman PD tells SI Sooners that no charges have been filed and no arrests have been made as the investigation continues.
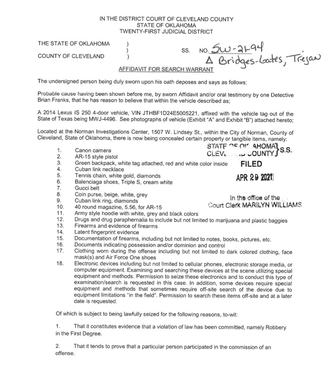
SI Sooners obtained the search warrant affidavit executed on April 16 and filed April 29 (view the affidavit above).
According to a separate affidavit filed in Cleveland County Court, Bridges has been evicted from his apartment after police executed the search warrant on April 16.
The eviction affidavit, filed April 26 by Cottages of Norman attorney Ashley Schovanec and citing “information and belief,” states in part that “criminal charges against Bridges are forthcoming.”
Details from the search warrant affidavit identify Bridges and "Seth King (later identified at Seth McGowan)" and include the victim’s account of McGowan allegedly trying to buy marijuana from via a message on Snapchat. The victim refused, according to police detective Brian Franks, and McGowan allegedly showed up at his apartment.
“The victim stated McGowan was acting strange and had his right hand up his shirt,” Norman PD detective Brian Franks wrote. “The victim asked him if he a gun and at that point two other males entered the apartment.”
The victim then claims a second male entered the apartment allegedly carrying a black handgun and allegedly pointed it at the victim. After grabbing McGowan and pulling him to the floor, the victim says he was “struck in the head with the gun and kicked numerous times. The victim stated the second male who pointed the gun at him was Trejan Bridges and he immediately recognized him even though he was wearing a blue surgical mask. The victim was threatened by Bridges the he would be shot and killed.”
The report also states that a third male allegedly ran into the victim’s bedroom and “was throwing things around” before running out of the apartment with a green backpack that “appeared to be full of items.”
The victim told police he "fears for his life" and claims Bridges told him “he would come back and kill him if he got up before ten minutes passed,” according to detectives.
Units responding to a 911 call minutes later found the apartment “in disorder” and said the victim was “bleeding from the top of his head.”
When questioned by investigators, Bridges said he "had nothing to do with this incident."
While both players were suspended from the team on April 16 and were not listed on the roster for the annual Red/White Game on April 24, McGowan reportedly has entered the transfer portal.
Bridges was suspended from competition for almost the entire 2020 season after failing a drug test before the Peach Bowl in 2019. He missed that game and nine more in 2020, per NCAA rules. The suspension mandates a six-game punishment, but Bridges' punishment continued for a month after two other teammates also suspended for the Peach Bowl had been reinstated.
SI Sooners asked OU coach Lincoln Riley on Saturday about the status of the two suspended players.
"No update," Riley said. "Kind of like everybody else, just letting this thing play out from a legal standpoint and then we'll make any decisions we've got to make from there."

John is an award-winning journalist whose work spans five decades in Oklahoma, with multiple state, regional and national awards as a sportswriter at various newspapers. During his newspaper career, John covered the Dallas Cowboys, the Kansas City Chiefs, the Oklahoma Sooners, the Oklahoma State Cowboys, the Arkansas Razorbacks and much more. In 2016, John changed careers, migrating into radio and launching a YouTube channel, and has built a successful independent media company, DanCam Media. From there, John has written under the banners of Sporting News, Sports Illustrated, Fan Nation and a handful of local and national magazines while hosting daily sports talk radio shows in Oklahoma City, Tulsa and statewide. John has also spoken on Capitol Hill in Oklahoma City in a successful effort to put more certified athletic trainers in Oklahoma public high schools. Among the dozens of awards he has won, John most cherishes his national "Beat Writer of the Year" from the Associated Press Sports Editors, Oklahoma's "Best Sports Column" from the Society of Professional Journalists, and Two "Excellence in Sports Medicine Reporting" Awards from the National Athletic Trainers Association. John holds a bachelor's degree in Mass Communications from East Central University in Ada, OK. Born and raised in North Pole, Alaska, John played football and wrote for the school paper at Ada High School in Ada, OK. He enjoys books, movies and travel, and lives in Broken Arrow, OK, with his wife and two kids.
Follow johnehoover