Physics of building a better football

By Rhett Allain, WIRED
If you took a time machine back 50 years and watched a football game, you'd notice a lot of differences. Helmets, pads, shoes, jerseys—artificial turf means even the playing field itself has changed. But one thing has not. Not even a little bit.
It's the football.
But let's say you could modify the ball. Take your time machine five decades forward. Could a quarterback throw it farther? Let’s find out.
Football Physics
Look for new entries in the Super Bowl 100 series, presented by Gatorade and Microsoft Surface, at SI.com/SB100 and Wired.com/sb100
Chapter 1, Oct. 7 TRAINING
Chapter 2, Oct. 28 EQUIPMENT
Chapter 3, Nov. 18 STADIUMS
Chapter 4, Dec. 9 CONCUSSIONS
Chapter 5, Dec. 16 MEDIA
Chapter 6, Dec. 30 VR
Chapter 7, Jan. 6 NFL IN SOCIETY
Chapter 8, Jan. 13 TRACKING
Chapter 9, Jan. 20 STRATEGY
Chapter 10, Jan. 27 SB 100
ROAD MAP TO
THE FUTURE
Suppose you toss a football into the air. What determines how far it will go? Two things. The quarterback interacts with the ball (the throw), and the ball moves through the air.
The goal of the throw is to get a football from rest to some higher velocity and release it at some angle such that the ball ends up where you want it—hopefully in the hands of your best receiver. In order to accelerate any object, you need to exert a force on it.. This force comes from the quarterback's arm. The final speed of the ball depends on:
• The mass of the ball
• The force the player exerts
• The distance
Clearly only one of these factors depends on the ball.

But how fast will it be going? In this case, we can use the Work-Energy Principle. It says that the work done on the ball (by the force) will be equal to the change in kinetic energy of the ball. I can write that as:

You can see that increasing the mass of the ball (but keeping the human the same) would decrease the launch velocity of the football. So if you wanted get better performance—a longer-distance pass, let's say—maybe we'd want to decrease the mass of the football itself.
But that depends on the way the ball moves through the air.
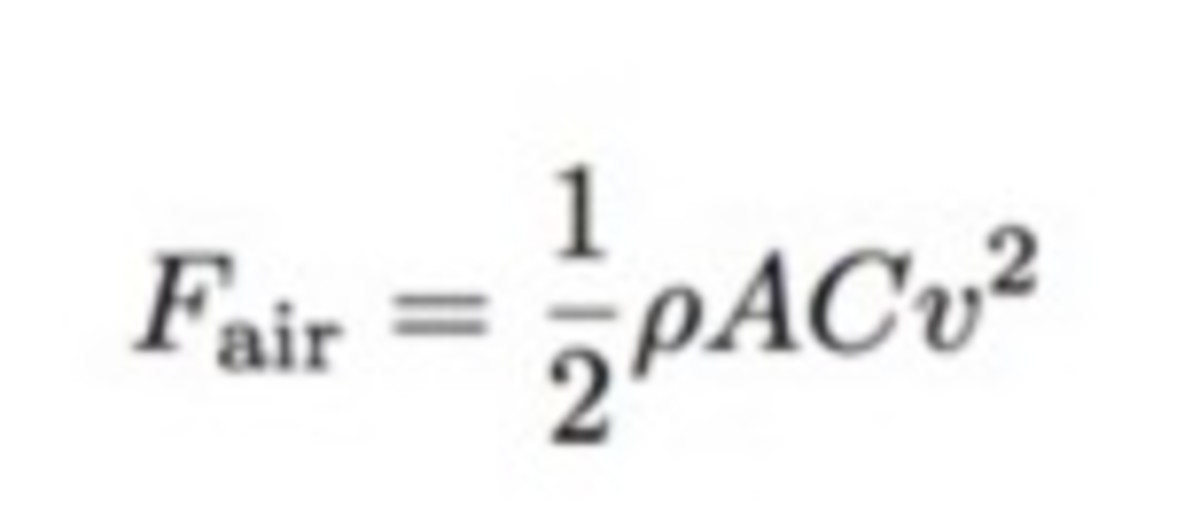
Once the ball leaves the player’s hand, two forces determine its motion: the gravitational force and the air resistance force.

The gravitational force is fairly straightforward, but air resistance is more complicated. It depends on speed, but also the cross-sectional size of the object—I'll call that area A—and the shape of the object, denoted by the variable C.
Technically, it also depends on the density of the air (we like to use the Greek letter ρ) but that wouldn’t change too much in a normal football game. The other important point about air resistance is that it acts in the opposite direction as the velocity of the ball. Putting this all together gives the following model for the magnitude of the air resistance force.

If you want a football to go the farthest, you would want a smaller cross sectional area and a small drag coefficient (C). However, just changing the mass will also have an impact on the football range because of the relationship between force and acceleration.

With the same force, an object with a greater mass will have a smaller acceleration. If you throw two balls with the same velocity and the same air resistance force, the more massive ball will go farther. So there you have it. More mass makes the ball harder to throw but more mass also makes it less susceptible to air resistance.
The point is, there should be some sweet spot for mass of the ball that gives the best range. That’s what we will find.
But wait! What about the spin of the football? Yes, spin does matter. When the ball spins it has angular momentum, which keeps the orientation of the ball stable. The small pointy end of the ball stayed headed into the direction of motion, giving it a smaller A than if it was tumbling. So for the rest of the discussion, I'll just assume our future quarterback knows how to throw a tight spiral.
Finding the Maximum Range
If you ever took physics you might remember that, if you're standing on level ground, the way to get the best range from a projectile is to launch it at a 45-degree angle. But that's only true when air resistance is negligible. Factor in air resistance, and things get more complicated, because it increases with speed, and the acceleration of the ball is not constant.
One way to solve this problem: Use a computer. It’s not cheating; it’s just the way it is.
• Start with the ball at a certain position and with a certain velocity.
• Assume the air resistance force is constant over some very short time interval.
• Calculate the change in velocity based on this constant force.
• Calculate the change in position based on this velocity.
• Update the time.
• Repeat forever (or until the ball gets back to the ground).
It’s so simple that even a computer can do it. Once I find the range for a particular football, I can keep changing the launch angle to find the maximum range. Next I can change the mass to see how much mass matters.
Let me make a few assumptions before we start. First, I will assume that the football player exerts the same force over the same distance for the ball no matter what the ball’s mass. This means that the starting kinetic energy of the ball will be constant. Second, I will assume the only thing that changes for the flight of the ball is the mass—constant cross sectional area, constant density and constant drag coefficient.
Here is a plot of maximum range for footballs with different masses based on this calculation and using a quarterback throwing a standard ball with a speed of 60 mph (26.8 m/s).
From this plot you can see that you get a maximum range for a football with a mass of around 275 grams (compared to the official mass, around 420 grams). However, the change in range isn’t that large. Going from 420g to 275g gets about 3 more meters. Doesn't seem like the sort of thing you could win a game with.
But what if we also let the size of the ball change? The official NFL ball has a circumference at its widest point of 11 inches. This would give a radius of about 8.8 cm. Let’s rerun this same calculation for balls with sizes from 7 to 9 cm. Here’s that plot.
Now we're talking. Our future quarterback could throw a smaller and lower-mass ball significantly farther. With a 7 cm ball and a mass of 200 grams the range increases to 58 meters. Now that’s a long ball.
The real question, though, is what impact that would have on the game. Increased throwing range could really increase scoring opportunities—receivers would have more room to work with and separate from defenders. This could even lead to basketball-like scores. Is that what we want? Who knows.
If you optimize a ball for better passes, in what way would this impact the rest of the game? A smaller sized ball might be easier to carry and less prone to fumbles, so maybe a better throwing ball is also better for running. But would the smaller ball also be easier to catch? Maybe. My calculations are based on some assumptions that might not be completely accurate. The best method to test these smaller and lighter balls is just to get out there and play with them.

